98.验证二叉搜索树
难度:中等
给你一个二叉树的根节点 root ,判断其是否是一个有效的二叉搜索树。
有效 二叉搜索树定义如下:
- 节点的左子树只包含 小于 当前节点的数。
- 节点的右子树只包含 大于 当前节点的数。
- 所有左子树和右子树自身必须也是二叉搜索树。
示例 1:

输入:root = [2,1,3]
输出:true示例 2:

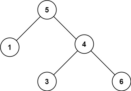
输入:root = [5,1,4,null,null,3,6]
输出:false
解释:根节点的值是 5 ,但是右子节点的值是 4 。提示:
- 树中节点数目范围在
[1, 10^4]内 -2^31 <= Node.val <= 2^31 - 1
递归法
二叉搜索树是一个有序树:
- 若它的左子树不空,则左子树上所有结点的值都小于它的根结点的值;
- 若它的右子树不空,则右子树上所有结点的值都大于它的根结点的值;
- 它的左、右子树也分别为二叉搜索树
这启示我们设计一个递归函数 isValid(root, lower, upper) 来递归判断,函数表示考虑以 root 为根的子树,判断子树中所有节点的值是否都在 (l,r)的范围内(注意是开区间)。如果 root 节点的值 val 不在 (l,r) 的范围内说明不满足条件直接返回,否则我们要继续递归调用检查它的左右子树是否满足,如果都满足才说明这是一棵二叉搜索树。
那么根据二叉搜索树的性质,在递归调用左子树时,我们需要把上界 upper 改为 root.val,即调用 isValid(root.left, lower, root.val),因为左子树里所有节点的值均小于它的根节点的值。同理递归调用右子树时,我们需要把下界 lower 改为 root.val,即调用 isValid(root.right, root.val, upper)。
函数递归调用的入口为 isValid(root, -inf, +inf), inf 表示一个无穷大的值。
算法步骤:
- 递归的基本情况:如果当前节点是
null,根据二叉搜索树的定义,空树是有效的二叉搜索树,因此返回true。 - 检查当前节点的值:如果当前节点的值不满足二叉搜索树的性质(即,不在其允许的值范围
lower和upper之间),则返回false。具体来说,当前节点的值必须大于其允许的最小值lower并且小于其允许的最大值upper。 - 递归检查左右子树:
- 对于左子树,其允许的值范围是
lower到当前节点的值。递归调用isValid函数,将当前节点的值作为左子树允许的最大值。 - 对于右子树,其允许的值范围是当前节点的值到
upper。递归调用isValid函数,将当前节点的值作为右子树允许的最小值。
- 对于左子树,其允许的值范围是
- 返回结果:如果当前节点及其所有子树都满足二叉搜索树的性质,则返回
true。
代码展示
public boolean isValidBST(TreeNode root) {
return isValid(root, Long.MIN_VALUE, Long.MAX_VALUE);
}
public boolean isValid(TreeNode root, long lower, long upper) {
if (root == null) {
return true;
}
if (root.val <= lower || root.val >= upper) {
return false;
}
return isValid(root.left, lower, root.val) && isValid(root.right, root.val, upper);
}时间复杂度:O(n),其中n是树中的节点数。算法需要访问树中的每个节点一次。
空间复杂度:O(h),其中h是树的高度。递归调用栈的深度由树的高度决定。在最坏的情况下(树完全倾斜),空间复杂度可以达到O(n)。
为什么使用 long 类型:
使用 long 类型的 Long.MIN_VALUE 和 Long.MAX_VALUE 作为初始的上下界是为了包含 int 类型的所有可能值,因为二叉树节点的值是 int 类型的。这确保了在递归的最开始阶段,根节点的值不会因为边界问题而被错误地判断。
中序遍历+递归法
核心原理:二叉搜索树是一个有序树,在中序遍历下其输出的是一个递增序列。
这启示我们可以在中序遍历的时候,实时检查当前节点的值是否大于前一个中序遍历到的节点的值即可。如果一直大于,说明这个序列是升序的,整棵树是二叉搜索树,否则就不是。
算法步骤:
prev变量用于记录中序遍历过程中访问的前一个节点。它在类的成员位置被初始化为null,以便在开始遍历时没有前一个节点。inorder方法实现了中序遍历。它首先递归地访问左子树,然后检查当前节点是否满足BST的条件(即当前节点的值应该大于prev节点的值),最后递归地访问右子树。- 如果在任何时候发现序列不是升序的,方法返回
false。如果整个遍历过程中没有违反BST的条件,最终返回true。
代码展示
TreeNode prev = null; // 用于记录中序遍历过程中的前一个节点
public boolean isValidBST(TreeNode root) {
// 递归进行中序遍历,并检查序列是否升序
return inorder(root);
}
public boolean inorder(TreeNode node) {
if (node == null) {
return true; // 空节点不违反BST的规则
}
// 首先递归检查左子树
if (!inorder(node.left)) {// 如果左子树不是BST,则直接返回false
return false;
}
// 检查当前节点的值是否大于前一个中序遍历到的节点的值
if (prev != null && node.val <= prev.val) {
return false; // 如果不是升序,说明不是BST
}
prev = node; // 更新prev为当前节点
// 然后递归检查右子树
return inorder(node.right);
}时间复杂度:O(n),其中n是树中的节点数。算法需要访问树中的每个节点恰好一次。
空间复杂度:O(h),其中h是树的高度,对应递归调用栈的深度。在最坏的情况下(树完全倾斜),空间复杂度可以达到O(n)。
中序遍历+迭代法
上诉中的递归函数我们也可以用迭代的方式来实现,两种方式是等价的,区别在于递归的时候隐式地维护了一个栈,而我们在迭代的时候需要显式地将这个栈模拟出来,其他都相同,具体的代码思路如下:
- 初始化:创建一个栈来保存遍历过程中的节点,以及一个
prev变量来记录上一次访问的节点。初始时,prev设置为null。 - 迭代遍历:使用
current指针指向当前节点,初始时指向根节点root。然后进入一个循环,直到current为null且栈为空。 - 向左遍历:在循环中,首先尽可能地向左遍历,并将沿途的节点压入栈中。这一步确保了能够按照中序遍历的顺序访问每个节点。
- 处理节点:当不能再向左遍历时,从栈中弹出一个节点进行处理。这个节点是当前中序遍历序列中的下一个节点。此时检查这个节点的值是否大于
prev节点的值。如果不是(即当前节点的值小于等于prev节点的值),说明这不是一个有效的BST,返回false。 - 转向右子树:处理完当前节点后,转向右子树并继续迭代过程。
- 完成遍历:当所有节点都被正确处理且没有发现违反BST性质的情况时,遍历结束,返回
true。
通过这种方法,算法首先访问最左侧的节点(最深的左子树),然后回到其父节点(根节点),最后处理右子树。这正好符合中序遍历的顺序(左-根-右)。使用栈来存储未来将要访问的节点,从而实现了迭代遍历,而不是使用递归。
代码展示
public boolean isValidBST(TreeNode root) {
TreeNode prev = null; // 用于记录中序遍历过程中的前一个节点
Deque<TreeNode> stack = new LinkedList<>();
TreeNode current = root;
while (current != null || !stack.isEmpty()) {
// 尽可能地向左遍历,并将沿途的节点压入栈
while (current != null) {
stack.push(current);
current = current.left;
}
// 当到达最左侧节点后,弹出并处理节点
current = stack.pop();
if (prev != null && current.val <= prev.val) {
return false;
}
prev = current;
// 转向右子树
current = current.right;
}
return true;
}时间复杂度:O(n),其中 n 是二叉树的节点数。每一个节点恰好被遍历一次。
空间复杂度:O(h),其中h是树的高度。在最坏的情况下,栈中可能需要存储与树的高度相当数量的节点。对于一棵平衡二叉树,空间复杂度是O(log n),而对于非平衡二叉树,最坏情况下的空间复杂度可能达到O(n)。
总结
二叉搜索树是一个有序树,在中序遍历下其输出的是一个递增序列。

