107.二叉树的层序遍历Ⅱ
难度:中等
给你二叉树的根节点 root ,返回其节点值 自底向上的层序遍历 。 (即按从叶子节点所在层到根节点所在的层,逐层从左向右遍历)
示例 1:

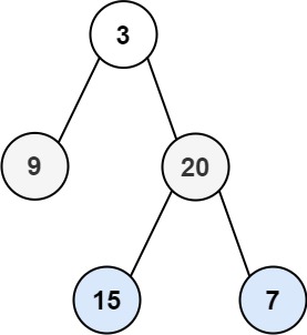
输入:root = [3,9,20,null,null,15,7]
输出:[[15,7],[9,20],[3]]示例 2:
输入:root = [1]
输出:[[1]]示例 3:
输入:root = []
输出:[]提示:
- 树中节点数目在范围
[0, 2000]内 -1000 <= Node.val <= 1000
翻转法
这道题和 102 题的差别,只在于输出结果的顺序刚好相反,那么我的第一想法是,直接调用 Collections.reverse 函数来翻转最终的数组即可。
层序遍历一个二叉树。就是从左到右、一层一层地去遍历二叉树。这种遍历的方式需要借用一个辅助数据结构即队列来实现。
队列具有 先进先出 的特性,符合层序遍历的逻辑。这种层序遍历的方式就是图论中的广度优先遍历,只不过我们应用在了二叉树上。
算法流程:
处理特例:若根节点为空,则返回空列表
根节点入队
BFS 循环: 判断队列是否为空。如果不为空,说明还有节点需要遍历
初始化当前层的节点个数
currentLevelSize为队列的大小。首先初始化一个空的列表
currentLevelList用于存储当前层的节点值。使用一个内层循环,遍历当前层的节点。循环次数为当前层的节点个数
currentLevelSize。- 从队列中取出一个节点
current,将其值添加到currentLevelList中。 - 如果当前节点有左子节点,将左子节点入队。
- 如果当前节点有右子节点,将右子节点入队。
- 从队列中取出一个节点
将存储当前层节点值的列表
currentLevelList添加到结果列表result中。此时队列中已经把当前层的节点都出队了,同时把下一层的节点都入队了,因此队列大小刚好变成了下一层的节点个数。
翻转结果列表
返回结果列表
代码展示
public List<List<Integer>> levelOrder(TreeNode root) {
List<List<Integer>> result = new ArrayList<>();
// 若根节点为空,则返回空列表
if (root == null) {
return result;
}
Deque<TreeNode> queue = new LinkedList<>();
// 根节点入队
queue.add(root);
// BFS 循环
while (!queue.isEmpty()) {
int currentLayerSize = queue.size();
List<Integer> currentLayerList = new ArrayList<>();
// 这里一定要使用固定大小currentLayerSize,不要使用queue.size(),因为queue不停地出队入队,所以其大小是不断变化的
for (int i = 0; i < currentLayerSize; i++) {
TreeNode current = queue.poll();
currentLayerList.add(current.val);
if (current.left != null) {
queue.add(current.left);
}
if (current.right != null) {
queue.add(current.right);
}
}
result.add(currentLayerList);
}
// 翻转结果列表
Collections.reverse(result);
return result;
}时间复杂度:O(n),其中 n 是二叉树的节点数。每一个节点恰好被遍历一次。
空间复杂度:O(n),最差情况下,即当树为满二叉树时,最多有 (n+1)/2 个树节点 同时 在 queue 中,故使用 O(n) 大小的额外空间。
不翻转法
利用链表可以进行 O(1) 头部插入,这样最后的答案就不需要再翻转了。
注意 addFirst() 是 LinkedList 类的方法,List 接口只有 add() 方法。
代码展示
public List<List<Integer>> levelOrderBottom(TreeNode root) {
// 利用链表可以进行 O(1) 头部插入, 这样最后答案不需要再反转
LinkedList<List<Integer>> result = new LinkedList<>();
// 若根节点为空,则返回空列表
if (root == null) {
return result;
}
Deque<TreeNode> queue = new LinkedList<>();
// 根节点入队
queue.add(root);
// BFS 循环
while (!queue.isEmpty()) {
int currentLayerSize = queue.size();
List<Integer> currentLayerList = new ArrayList<>();
// 这里一定要使用固定大小currentLayerSize,不要使用queue.size(),因为queue不停地出队入队,所以其大小是不断变化的
for (int i = 0; i < currentLayerSize; i++) {
TreeNode current = queue.poll();
currentLayerList.add(current.val);
if (current.left != null) {
queue.add(current.left);
}
if (current.right != null) {
queue.add(current.right);
}
}
result.addFirst(currentLayerList);
}
return result;
}时间复杂度:O(n),其中 n 是二叉树的节点数。每一个节点恰好被遍历一次。
空间复杂度:O(n),最差情况下,即当树为满二叉树时,最多有 (n+1)/2 个树节点 同时 在 queue 中,故使用 O(n) 大小的额外空间。
总结
在链表头部插入数据的时间复杂度是 O(1)。

