206.反转链表
难度:简单
给你单链表的头节点 head ,请你反转链表,并返回反转后的链表。
示例 1:

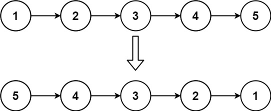
输入:head = [1,2,3,4,5]
输出:[5,4,3,2,1]示例 2:

输入:head = [1,2]
输出:[2,1]示例 3:
输入:head = []
输出:[]提示:
- 链表中节点的数目范围是
[0, 5000] -5000 <= Node.val <= 5000
**进阶:**链表可以选用迭代或递归方式完成反转。你能否用两种方法解决这道题?
解题思路
数组支持 随机访问(Random Access),随机访问这个概念在计算机科学中被定义为:可以用同等的时间访问到一组数据中的任意一个元素。
而链表显然是不满足这个特性的。
数组反转的常见方法是:第一个元素与最后一个元素互换位置,索引持续往中间逼近,重复这个操作即可。
那么针对链表的反转操作,关键点在于让每个节点的 next 指向自己的 pre 节点。
如果再定义一个新的链表,来实现对链表元素的反转,则是对内存空间的浪费。
我的思路:
- 从头节点开始遍历,获取当前节点、pre 节点、next 节点
- 让当前节点的 next 指向 pre
- 当前节点 = next 节点
- 到达链表尾的时候,退出循环
我的代码(迭代法)
java
class Solution {
public ListNode reverseList(ListNode head) {
ListNode pre = null; // 前一个节点
ListNode cur = head; // 当前处理的节点
ListNode next = null; // 保存cur的下一个节点
while (cur != null) {
next = cur.next; // 保存下一个节点
cur.next = pre; // 将当前节点的next指向前一个节点,实现反转
pre = cur; // 更新前一个节点为当前节点
cur = next; // 移动到下一个节点
}
// 当循环结束时,pre 将指向新的头节点
return pre;
}
}时间复杂度:O(n)
空间复杂度:O(1)
递归法
递归法相对抽象一些,但是其实和迭代法是一样的逻辑,同样是当 cur 为空的时候递归结束,不断将 cur.next 指向 pre 的过程。
java
class Solution {
public ListNode reverseList(ListNode head) {
return reverse(null, head);
}
public ListNode reverse(ListNode pre, ListNode cur) {
// 递归出口
if (cur == null) return pre;
// 递归部分
ListNode next = null; // 保存cur的下一个节点
while (cur != null) {
next = cur.next;
cur.next = pre;// 反转操作
pre = cur;
cur = next;
}
return reverse(pre, cur);
}
}时间复杂度: O(n),要递归处理链表的每个节点
空间复杂度: O(n),递归调用了 n 层栈空间
总结
如果使用 C,C++ 编程语言的话,不要忘了还要从内存中删除这两个移除的节点。
当然如果使用 Java ,Python 的话就不用手动管理内存了。
注意虚拟头节点的引入,可以使代码逻辑更统一。

