530.二叉搜索树的最小绝对差
难度:简单
给你一个二叉搜索树的根节点 root ,返回 树中任意两不同节点值之间的最小差值 。
差值是一个正数,其数值等于两值之差的绝对值。
示例 1:

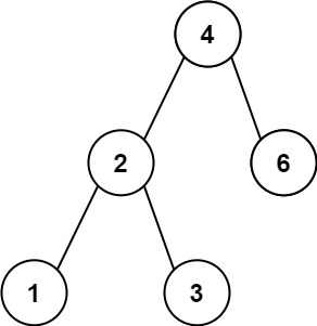
输入:root = [4,2,6,1,3]
输出:1示例 2:

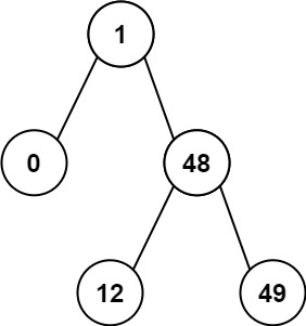
输入:root = [1,0,48,null,null,12,49]
输出:1提示:
- 树中节点的数目范围是
[2, 104] 0 <= Node.val <= 105
解题思路
二叉搜索树的两大性质:
- 二叉搜索树是一个有序树:
- 若它的左子树不空,则左子树上所有结点的值都小于它的根结点的值;
- 若它的右子树不空,则右子树上所有结点的值都大于它的根结点的值;
- 它的左、右子树也分别为二叉搜索树
- 二叉搜索树的中序遍历结果是一个递增序列
根据性质 2,显然最小绝对差的出现范围,只会在中序遍历结果的相邻元素差之中,没有其他的选择。
那么本题的解题思路就很清晰了:使用中序遍历来遍历此二叉树,在这个过程中获取当前节点和前一个节点的差值,并迭代记录当前遍历进度中的差值最大值。
并且中序遍历二叉树有递归和迭代两种方法。
代码展示
中序遍历+递归法
java
TreeNode prev=null; // 记录中序遍历过程中的前一个节点
int ans=Integer.MAX_VALUE;// 记录最小绝对差,初始化为无穷大
public boolean getMinimumDifference(TreeNode root){
// 递归进行中序遍历
return inorder(root);
return ans;
}
public boolean inorder(TreeNode node){
if(node==null){
return true;
}
// 首先递归遍历左子树
inorder(node.left);
// 检查当前差值是否小于前一个差值
if(prev!=null){
ans=Math.min(node.val-pre.val,ans);
}
prev=node; // 更新prev为当前节点
// 然后递归遍历右子树
inorder(node.right);
}时间复杂度:O(n),其中n是树中的节点数。算法需要访问树中的每个节点一次。
空间复杂度:O(h),其中h是树的高度。递归调用栈的深度由树的高度决定。在最坏的情况下(树完全倾斜),空间复杂度可以达到O(n)。
中序遍历+迭代法
上诉中的递归函数我们也可以用迭代的方式来实现,两种方式是等价的,区别在于递归的时候隐式地维护了一个栈,而我们在迭代的时候需要显式地将这个栈模拟出来,其他都相同,具体的代码思路如下:
- 初始化:创建一个栈来保存遍历过程中的节点,一个
prev变量来记录上一次访问的节点,一个ans变量记录最小绝对差。 - 迭代遍历:使用
current指针指向当前节点,初始时指向根节点root。然后进入一个循环,直到current为null且栈为空。 - 向左遍历:在循环中,首先尽可能地向左遍历,并将沿途的节点压入栈中。这一步确保了能够按照中序遍历的顺序访问每个节点。
- 处理节点:当不能再向左遍历时,从栈中弹出一个节点进行处理。这个节点是当前中序遍历序列中的下一个节点。此时比较差值大小。
- 转向右子树:处理完当前节点后,转向右子树并继续迭代过程。
- 完成遍历:当所有节点都被正确处理时,遍历结束。
通过这种方法,算法首先访问最左侧的节点(最深的左子树),然后回到其父节点(根节点),最后处理右子树。这正好符合中序遍历的顺序(左-根-右)。使用栈来存储未来将要访问的节点,从而实现了迭代遍历,而不是使用递归。
代码展示
java
public int getMinimumDifference(TreeNode root){
TreeNode prev=null; // 用于记录中序遍历过程中的前一个节点
int ans=Integer.MAX_VALUE; //记录最小绝对差
Deque<TreeNode> stack=new LinkedList<>();
TreeNode current=root;
while(current!=null||!stack.isEmpty()){
// 尽可能地向左遍历,并将沿途的节点压入栈
while(current!=null){
stack.push(current);
current=current.left;
}
// 当到达最左侧节点后,弹出并处理节点
current=stack.pop();
if(prev!=null){
ans=Math.min(current.val-prev.val,ans);
}
prev=current;
// 转向右子树
current=current.right;
}
return ans;
}时间复杂度:O(n),其中 n 是二叉树的节点数。每一个节点恰好被遍历一次。
空间复杂度:O(h) ,其中h是树的高度。在最坏的情况下,栈中可能需要存储与树的高度相当数量的节点。对于一棵平衡二叉树,空间复杂度是O(log n) ,而对于非平衡二叉树,最坏情况下的空间复杂度可能达到O(n)。
总结
二叉搜索树的两大性质:
- 二叉搜索树是一个有序树:
- 若它的左子树不空,则左子树上所有结点的值都小于它的根结点的值;
- 若它的右子树不空,则右子树上所有结点的值都大于它的根结点的值;
- 它的左、右子树也分别为二叉搜索树
- 二叉搜索树的中序遍历结果是一个递增序列

