559.N叉树的最大深度
难度:容易
给定一个 N 叉树,找到其最大深度。
最大深度是指从根节点到最远叶子节点的最长路径上的节点总数。
N 叉树输入按层序遍历序列化表示,每组子节点由空值分隔(请参见示例)。
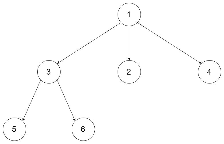
示例 1:

输入:root = [1,null,3,2,4,null,5,6]
输出:3示例 2:

输入:root = [1,null,2,3,4,5,null,null,6,7,null,8,null,9,10,null,null,11,null,12,null,13,null,null,14]
输出:5提示:
- 树的深度不会超过
1000。 - 树的节点数目位于
[0, 104]之间。
层序遍历+队列法
这道题和 102 题非常类似,只不过在单层遍历的时候记录一下当前深度就可以了。
层序遍历一个二叉树。就是从左到右、一层一层地去遍历二叉树。这种遍历的方式需要借用一个辅助数据结构即队列来实现。
队列具有 先进先出 的特性,符合层序遍历的逻辑。这种层序遍历的方式就是图论中的广度优先遍历,只不过我们应用在了二叉树上。
算法流程:
- 处理特例:若根节点为空,则返回 0
- 根节点入队
- BFS 循环: 判断队列是否为空。如果不为空,说明还有节点需要遍历
初始化当前层的节点个数
currentLevelSize为队列的大小。深度增加。
使用一个内层循环,遍历当前层的节点。循环次数为当前层的节点个数
currentLevelSize。- 如果当前节点有子节点,将子节点入队。
此时队列中已经把当前层的节点都出队了,同时把下一层的节点都入队了,因此队列大小刚好变成了下一层的节点个数。
- 返回深度值:当所有层都遍历完毕后,此时得到的深度值代表的就是最深的那一层。
代码展示
java
public int maxDepth(Node root) {
// 若根节点为空,则返回0
if (root == null) {
return 0;
}
int depth = 0;
Deque<Node> queue = new LinkedList<>();
// 根节点入队
queue.add(root);
// BFS 循环
while (!queue.isEmpty()) {
int currentLayerSize = queue.size();
// 深度增加
depth++;
// 这里一定要使用固定大小currentLayerSize,不要使用queue.size(),因为queue不停地出队入队,所以其大小是不断变化的
for (int i = 0; i < currentLayerSize; i++) {
Node current = queue.poll();
if (current.children != null) {
queue.addAll(current.children);
}
}
}
return depth;
}
class Node {
public int val;
public List<Node> children;
public Node() {}
public Node(int _val) {
val = _val;
}
public Node(int _val, List<Node> _children) {
val = _val;
children = _children;
}
};时间复杂度:O(n),其中 n 是二叉树的节点数。每一个节点恰好被遍历一次。
空间复杂度:O(n),最差情况下,即当树为满二叉树时,最多有 (n+1)/2 个树节点 同时 在 queue 中,故使用 O(n) 大小的额外空间。
递归法
递归法的核心思想是,N叉树的最大深度等于其子树深度的最大值加一(加的这个一代表根节点本身)。
代码展示
java
public int maxDepth(Node root) {
// 如果当前节点为空,意味着深度为0
if (root == null) {
return 0;
}
List<Node> children = root.children;
// 递归求子树的深度
int maxChildrenDepth = 0;
for (int i = 0; i < children.size(); i++) {
maxChildrenDepth = Math.max(maxChildrenDepth, maxDepth(children.get(i)));
}
// 当前树的最大深度为子树深度的最大值 + 1(根节点自身)
return maxChildrenDepth + 1;
}时间复杂度:O(n),其中 n 是二叉树的节点数。每一个节点恰好被遍历一次。
空间复杂度:O(1),因为这种做法没有使用队列,所以大大降低了空间复杂度。
总结
这份代码可以作为二叉树层序遍历的模板。

