110.平衡二叉树
难度:容易
给定一个二叉树,判断它是否是高度平衡的二叉树。
本题中,一棵高度平衡二叉树定义为:
一个二叉树每个节点 的左右两个子树的高度差的绝对值不超过 1 。
示例 1:

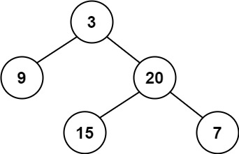
输入:root = [3,9,20,null,null,15,7]
输出:true示例 2:

输入:root = [1,2,2,3,3,null,null,4,4]
输出:false示例 3:
输入:root = []
输出:true提示:
- 树中的节点数在范围
[0, 5000]内 -104 <= Node.val <= 104
解题思路
这道题目和 104.二叉树的最大深度 很像,其实有很大区别。
二叉树的深度 = Max( 左子树的深度 , 右子树的深度 ) +1。
这里我们可以通过递归的方式判断一个二叉树是否平衡。
- 首先递归地检查所有子树是否平衡,如果左子树或右子树有一个不平衡,则整个树不平衡,函数返回
false - 若子树平衡,则对于每个节点,递归地计算当前节点的左子树和右子树的深度,取两者的最大值,然后加1(加的这个1代表当前节点本身),以此作为当前节点的树深度。
- 比较其左右子树的深度差,以确定整棵树是否平衡。
代码展示
public boolean isBalanced(TreeNode root) {
if (root == null) {
return true;
}
// 判断左右子树是否平衡
if (!isBalanced(root.left) || !isBalanced(root.right)) {
return false;
}
int leftDepth, rightDepth;
leftDepth = getTreeDepth(root.left);
rightDepth = getTreeDepth(root.right);
// 判断当前树是否平衡
return Math.abs(leftDepth - rightDepth) <= 1;
}
public int getTreeDepth(TreeNode root) {
if (root == null) {
return 0;
}
return Math.max(getTreeDepth(root.left), getTreeDepth(root.right)) + 1;
}时间复杂度:O(n^2),对于isBalanced函数,它在最坏情况下会访问树中的每个节点并计算其深度,这导致了一个高时间复杂度。具体来说,由于getTreeDepth函数对于每个节点都会被调用,整体时间复杂度为O(n^2),其中n是树中节点的数量。这是因为对于每个节点,都进行了一次深度的计算,而深度计算本身是递归进行的。
空间复杂度:O(n),空间复杂度主要由递归调用栈的深度决定,在最坏情况下(即树完全不平衡时)空间复杂度为O(n)。
优化写法(从底至顶)
尽管上述方法直观且易于实现,但在效率上可能不是最优的,尤其是对于较大的树。
原因是 重复计算深度:在检查每个节点是否平衡时(即左右子树的深度差是否不超过1),原始方法首先递归地检查左右子树是否各自平衡,然后再分别计算左右子树的深度。这意味着对于每个节点,其子树的深度可能被重复计算多次:一次是在检查子树本身是否平衡时,另一次是在计算当前节点的左右子树深度差时。因为getTreeDepth函数是独立调用的,所以每次调用都会遍历整个子树来计算深度,这导致了大量的重复遍历和计算。
优化这个算法的一个方法是在计算深度的同时检查平衡性,从而避免重复的深度计算。
在这个优化版本中,getDepth 函数不仅计算树的深度,还检查树是否平衡:
- 如果遇到不平衡的子树,即左右子树的深度差大于1,
getDepth函数会提前返回-1。这个返回值作为一个信号,表示树在当前节点或其子树中已经不平衡。 - 在递归调用
getDepth函数时,如果返回值为-1,表示找到了不平衡的子树,这时不需要继续计算深度,而是直接传递这个信号向上返回。 isBalanced函数现在只需要检查getDepth函数的返回值是否为-1即可。如果是-1,表示树不平衡;否则,树平衡。
代码展示
public boolean isBalanced(TreeNode root) {
return getDepth(root) != -1;
}
private int getDepth(TreeNode node) {
if (node == null) {
return 0;
}
int leftDepth = getDepth(node.left);
if (leftDepth == -1) {// 左子树不平衡
return -1;
}
int rightDepth = getDepth(node.right);
if (rightDepth == -1) {// 右子树不平衡
return -1;
}
if (Math.abs(leftDepth - rightDepth) > 1) {// 当前节点不平衡
return -1;
}
return Math.max(leftDepth, rightDepth) + 1; // 返回当前节点的深度
}时间复杂度:O(n),其中 n 是二叉树的节点数。每一个节点恰好被遍历一次。
空间复杂度:O(n),空间复杂度主要取决于递归调用栈的深度,最坏情况下(树完全不平衡时)为O(n),最好情况下(树完全平衡时)为O(log n)。
总结
平衡二叉树的每一个子树都是平衡二叉树。

