104.二叉树的最大深度
难度:容易
给定一个二叉树 root ,返回其最大深度。
二叉树的 最大深度 是指从根节点到最远叶子节点的最长路径上的节点数。
示例 1:

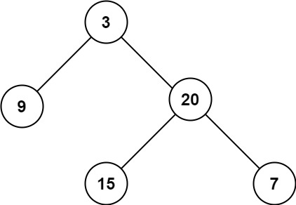
输入:root = [3,9,20,null,null,15,7]
输出:3示例 2:
输入:root = [1,null,2]
输出:2提示:
- 树中节点的数量在
[0, 10^4]区间内。 -100 <= Node.val <= 100
层序遍历+队列法
这道题和 102 题非常类似,只不过在单层遍历的时候记录一下当前深度就可以了。
层序遍历一个二叉树。就是从左到右、一层一层地去遍历二叉树。这种遍历的方式需要借用一个辅助数据结构即队列来实现。
队列具有 先进先出 的特性,符合层序遍历的逻辑。这种层序遍历的方式就是图论中的广度优先遍历,只不过我们应用在了二叉树上。
算法流程:
- 处理特例:若根节点为空,则返回 0
- 根节点入队
- BFS 循环: 判断队列是否为空。如果不为空,说明还有节点需要遍历
- 初始化当前层的节点个数
currentLevelSize为队列的大小。 - 深度增加。
- 使用一个内层循环,遍历当前层的节点。循环次数为当前层的节点个数
currentLevelSize。如果当前节点有左子节点,将左子节点入队。
如果当前节点有右子节点,将右子节点入队。
- 此时队列中已经把当前层的节点都出队了,同时把下一层的节点都入队了,因此队列大小刚好变成了下一层的节点个数。
- 初始化当前层的节点个数
- 返回深度值:当所有层都遍历完毕后,此时得到的深度值代表的就是最深的那一层。
代码展示
java
public int maxDepth(TreeNode root) {
// 若根节点为空,则返回0
if (root == null) {
return 0;
}
int depth = 0;
Deque<TreeNode> queue = new LinkedList<>();
// 根节点入队
queue.add(root);
// BFS 循环
while (!queue.isEmpty()) {
int currentLayerSize = queue.size();
// 深度增加
depth++;
// 这里一定要使用固定大小currentLayerSize,不要使用queue.size(),因为queue不停地出队入队,所以其大小是不断变化的
for (int i = 0; i < currentLayerSize; i++) {
TreeNode current = queue.poll();
if (current.left != null) {
queue.add(current.left);
}
if (current.right != null) {
queue.add(current.right);
}
}
}
return depth;
}时间复杂度:O(n),其中 n 是二叉树的节点数。每一个节点恰好被遍历一次。
空间复杂度:O(n),最差情况下,即当树为满二叉树时,最多有 (n+1)/2 个树节点 同时 在 queue 中,故使用 O(n) 大小的额外空间。
递归法
递归法的核心思想是,二叉树的最大深度等于其左右子树深度的最大值加一(加的这个一代表根节点本身)。
代码展示
java
public int maxDepth(TreeNode root) {
// 如果当前节点为空,意味着深度为0
if (root == null) {
return 0;
}
// 递归求左子树的深度
int leftDepth = maxDepth(root.left);
// 递归求右子树的深度
int rightDepth = maxDepth(root.right);
// 当前树的最大深度为左右子树深度的最大值 + 1(根节点自身)
return Math.max(leftDepth, rightDepth) + 1;
}时间复杂度:O(n),其中 n 是二叉树的节点数。每一个节点恰好被遍历一次。
空间复杂度:O(1),因为这种做法没有使用队列,所以大大降低了空间复杂度。
总结
这份代码可以作为二叉树层序遍历的模板。

